题文
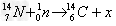
在下列四个核反应方程中,x表示质子的是( ) A.
B.
C.
D.
题型:未知 难度:其他题型
答案
B
点击查看核反应知识点讲解,巩固学习
解析
该题暂无解析
考点
据考高分专家说,试题“ 在下列四个核.....”主要考查你对 [核反应 ]考点的理解。
核反应
核反应:
1、定义:原子核在其他粒子的轰击下产生新原子核的过程。所有核反应的反应前后都遵守:质量数守恒、电荷数守恒。
2、原子核的人工转变
①质子的发现:用α粒子轰击氮,;
②电子的发现:用α粒子轰击铍,
。

