【生意多】-免费发布分类信息
当前位置: 首页 » 新闻 » 网络营销 » 正文

【重磅干货】高中数学所有公式大总结

放大字体  缩小字体 发布日期:2022-07-10 14:17:48    浏览次数:18
高中数学知识点总结,希望对大家有帮助!图片形式,没有水印,方便大家打印。

集合

cript>重磅干货】高中数学所有公式大总结cript>重磅干货】高中数学所有公式大总结

cript>重磅干货】高中数学所有公式大总结cript>重磅干货】高中数学所有公式大总结

基本初等函数Ⅰ

cript>重磅干货】高中数学所有公式大总结cript>重磅干货】高中数学所有公式大总结

cript>重磅干货】高中数学所有公式大总结cript>重磅干货】高中数学所有公式大总结

cript>重磅干货】高中数学所有公式大总结cript>重磅干货】高中数学所有公式大总结

cript>重磅干货】高中数学所有公式大总结cript>重磅干货】高中数学所有公式大总结

函数应用

cript>重磅干货】高中数学所有公式大总结cript>重磅干货】高中数学所有公式大总结

cript>重磅干货】高中数学所有公式大总结cript>重磅干货】高中数学所有公式大总结

cript>重磅干货】高中数学所有公式大总结cript>重磅干货】高中数学所有公式大总结

cript>重磅干货】高中数学所有公式大总结cript>重磅干货】高中数学所有公式大总结

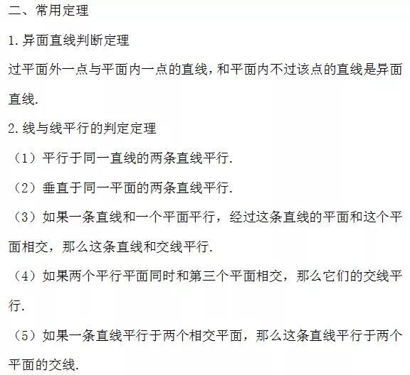
空间几何体

cript>重磅干货】高中数学所有公式大总结cript>重磅干货】高中数学所有公式大总结

点、直线和平面的位置关系

cript>重磅干货】高中数学所有公式大总结cript>重磅干货】高中数学所有公式大总结

cript>重磅干货】高中数学所有公式大总结cript>重磅干货】高中数学所有公式大总结

cript>重磅干货】高中数学所有公式大总结cript>重磅干货】高中数学所有公式大总结

空间向量与立体几何

cript>重磅干货】高中数学所有公式大总结cript>重磅干货】高中数学所有公式大总结

cript>重磅干货】高中数学所有公式大总结cript>重磅干货】高中数学所有公式大总结

cript>重磅干货】高中数学所有公式大总结cript>重磅干货】高中数学所有公式大总结

cript>重磅干货】高中数学所有公式大总结cript>重磅干货】高中数学所有公式大总结

cript>重磅干货】高中数学所有公式大总结cript>重磅干货】高中数学所有公式大总结

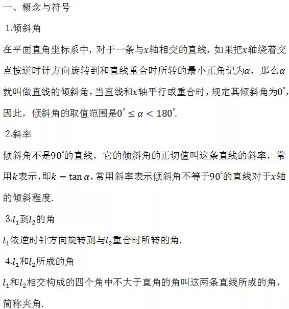
直线与方程

cript>重磅干货】高中数学所有公式大总结cript>重磅干货】高中数学所有公式大总结

cript>重磅干货】高中数学所有公式大总结cript>重磅干货】高中数学所有公式大总结

cript>重磅干货】高中数学所有公式大总结cript>重磅干货】高中数学所有公式大总结

cript>重磅干货】高中数学所有公式大总结cript>重磅干货】高中数学所有公式大总结

圆与方程

cript>重磅干货】高中数学所有公式大总结cript>重磅干货】高中数学所有公式大总结

cript>重磅干货】高中数学所有公式大总结cript>重磅干货】高中数学所有公式大总结

cript>重磅干货】高中数学所有公式大总结cript>重磅干货】高中数学所有公式大总结

圆锥曲线与方程

cript>重磅干货】高中数学所有公式大总结cript>重磅干货】高中数学所有公式大总结

cript>重磅干货】高中数学所有公式大总结cript>重磅干货】高中数学所有公式大总结

cript>重磅干货】高中数学所有公式大总结cript>重磅干货】高中数学所有公式大总结

统计

cript>重磅干货】高中数学所有公式大总结cript>重磅干货】高中数学所有公式大总结

概率

cript>重磅干货】高中数学所有公式大总结cript>重磅干货】高中数学所有公式大总结

离散型随机变量的分布列

cript>重磅干货】高中数学所有公式大总结cript>重磅干货】高中数学所有公式大总结

cript>重磅干货】高中数学所有公式大总结cript>重磅干货】高中数学所有公式大总结

cript>重磅干货】高中数学所有公式大总结cript>重磅干货】高中数学所有公式大总结

三角函数

cript>重磅干货】高中数学所有公式大总结cript>重磅干货】高中数学所有公式大总结

cript>重磅干货】高中数学所有公式大总结cript>重磅干货】高中数学所有公式大总结

cript>重磅干货】高中数学所有公式大总结cript>重磅干货】高中数学所有公式大总结

cript>重磅干货】高中数学所有公式大总结cript>重磅干货】高中数学所有公式大总结

cript>重磅干货】高中数学所有公式大总结cript>重磅干货】高中数学所有公式大总结

三角函数的图象与性质

cript>重磅干货】高中数学所有公式大总结cript>重磅干货】高中数学所有公式大总结

cript>重磅干货】高中数学所有公式大总结cript>重磅干货】高中数学所有公式大总结

cript>重磅干货】高中数学所有公式大总结cript>重磅干货】高中数学所有公式大总结

三角恒等变换

cript>重磅干货】高中数学所有公式大总结cript>重磅干货】高中数学所有公式大总结

解三角形

cript>重磅干货】高中数学所有公式大总结cript>重磅干货】高中数学所有公式大总结

cript>重磅干货】高中数学所有公式大总结cript>重磅干货】高中数学所有公式大总结

平面向量

cript>重磅干货】高中数学所有公式大总结cript>重磅干货】高中数学所有公式大总结

cript>重磅干货】高中数学所有公式大总结cript>重磅干货】高中数学所有公式大总结

cript>重磅干货】高中数学所有公式大总结cript>重磅干货】高中数学所有公式大总结

数列

cript>重磅干货】高中数学所有公式大总结cript>重磅干货】高中数学所有公式大总结

cript>重磅干货】高中数学所有公式大总结cript>重磅干货】高中数学所有公式大总结

cript>重磅干货】高中数学所有公式大总结cript>重磅干货】高中数学所有公式大总结

不等式

cript>重磅干货】高中数学所有公式大总结cript>重磅干货】高中数学所有公式大总结

cript>重磅干货】高中数学所有公式大总结cript>重磅干货】高中数学所有公式大总结

常用逻辑用语

cript>重磅干货】高中数学所有公式大总结cript>重磅干货】高中数学所有公式大总结

cript>重磅干货】高中数学所有公式大总结cript>重磅干货】高中数学所有公式大总结

导数及其应用

cript>重磅干货】高中数学所有公式大总结cript>重磅干货】高中数学所有公式大总结

cript>重磅干货】高中数学所有公式大总结cript>重磅干货】高中数学所有公式大总结

cript>重磅干货】高中数学所有公式大总结cript>重磅干货】高中数学所有公式大总结

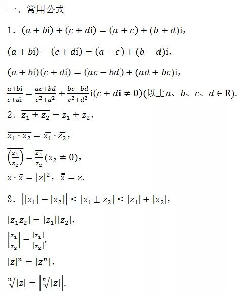
复数

cript>重磅干货】高中数学所有公式大总结cript>重磅干货】高中数学所有公式大总结

计数原理

cript>重磅干货】高中数学所有公式大总结cript>重磅干货】高中数学所有公式大总结

cript>重磅干货】高中数学所有公式大总结cript>重磅干货】高中数学所有公式大总结

cript>重磅干货】高中数学所有公式大总结cript>重磅干货】高中数学所有公式大总结

坐标系与参数方程

cript>重磅干货】高中数学所有公式大总结cript>重磅干货】高中数学所有公式大总结

cript>重磅干货】高中数学所有公式大总结cript>重磅干货】高中数学所有公式大总结

cript>重磅干货】高中数学所有公式大总结cript>重磅干货】高中数学所有公式大总结

 

本文素材来源于网络,如有侵权,请联系告知

 

 

小太阳cript>重磅干货】高中数学所有公式大总结cript>重磅干货】高中数学所有公式大总结cript>重磅干货】高中数学所有公式大总结cript>重磅干货】高中数学所有公式大总结很忙,

小云朵cript>重磅干货】高中数学所有公式大总结cript>重磅干货】高中数学所有公式大总结cript>重磅干货】高中数学所有公式大总结cript>重磅干货】高中数学所有公式大总结想吃糖,

小编努力变作你们想要的模样,cript>重磅干货】高中数学所有公式大总结cript>重磅干货】高中数学所有公式大总结

热切期盼亲亲们cript>重磅干货】高中数学所有公式大总结cript>重磅干货】高中数学所有公式大总结的留言。

求拥抱,求赞美,求关注。

 
(文/小编)
打赏
免责声明
• 
本文为小编原创作品,作者: 小编。欢迎转载,转载请注明原文出处:http://www.31duo.com/news/show-3735848.html 。本文仅代表作者个人观点,本站未对其内容进行核实,请读者仅做参考,如若文中涉及有违公德、触犯法律的内容,一经发现,立即删除,作者需自行承担相应责任。涉及到版权或其他问题,请及时联系我们。
 

(c)2016-2019 31DUO.COM All Rights Reserved浙ICP备19001410号-4

浙ICP备19001410号-4